Upload Archief |
| Hoofdpagina | Inloggen | Forum | Help |
| URL | |
| UBB | |
| HTML |
| overige afbeeldingen - bestand(en) | |||||
|---|---|---|---|---|---|
| bestand | dl's | grootte | datum | gebruiker | |
|
bc547_pinout.gif | 303 | 6kB | 01-09-2004 16:53:13 | Thomas007 |
|
resterm van lagrange.JPG | 332 | 68kB | 30-08-2004 19:41:43 | Bert F |
|
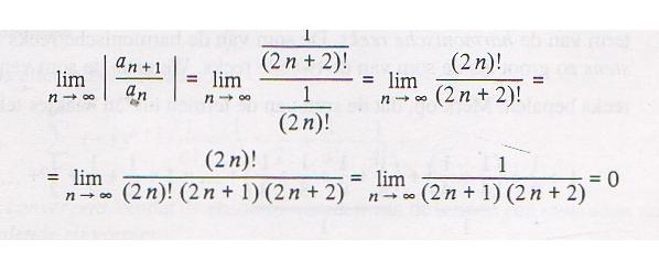
reeksen.JPG | 391 | 59kB | 26-08-2004 15:55:47 | Bert F |
|
buisvoet88.gif | 362 | 88kB | 22-08-2004 20:31:25 | hugo welther |
| omschrijving: Buisvoet afmetingen |
|||||
|
faculteit.JPG | 350 | 18kB | 22-08-2004 18:06:10 | Bert F |
|
analyser1 Model (1).pdf | 580 | 34kB | 15-08-2004 21:53:36 | tortor |
| omschrijving: PDF bestand met de PCB, gemaakt in AutoCad |
|||||
|
HPIM0039.pdf | 763 | 387kB | 15-08-2004 21:49:08 | tortor |
| omschrijving: PDF bestand met de opgebouwde schakeling |
|||||
|
HPIM0040.pdf | 659 | 427kB | 15-08-2004 21:47:45 | tortor |
| omschrijving: 3 PDF bestanden, te weten: 1x PCB (gemaakt in AutoCad) 2x foto van de opgebouwde print |
|||||
|
decatron definition.JPG | 433 | 38kB | 13-08-2004 22:12:38 | hugo welther |
| omschrijving: Decatron definitie |
|||||
|
tubesockets 2.jpg | 308 | 120kB | 11-08-2004 22:58:24 | hugo welther |
| omschrijving: Deel 2 buisvoetjes |
|||||
|
135
ms
v1.5.4
© MM 2002 - 2025
|
|

