Upload Archief |
| Hoofdpagina | Inloggen | Forum | Help |
| URL | |
| UBB | |
| HTML |
| overige afbeeldingen - bestand(en) | |||||
|---|---|---|---|---|---|
| bestand | dl's | grootte | datum | gebruiker | |
|
ledprinter.jpg | 545 | 8kB | 05-01-2005 18:59:49 | free_electron |
| omschrijving: printerpoort stuurt ledjes |
|||||
|
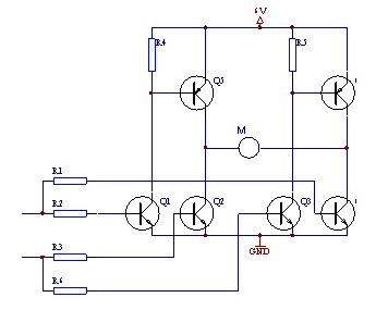
motorbip.jpg | 724 | 16kB | 05-01-2005 17:55:06 | free_electron |
| omschrijving: Motor van drairichting keren met bipolaire. De PNP\'s zijn BC640 NPN\'s zijn BC639 Goed voor 1 ampere ANders BD139 (NPN) en BD140 (PNP) vor de 4 die de motor sturen. De twee kleintjeds die de BD140 sturen mogen BC547 zijn |
|||||
|
schema circuitsonline 3.JPG | 420 | 22kB | 04-01-2005 14:18:12 | TVH9 |
| omschrijving: schema 3 |
|||||
|
schama circuitsonline22.JPG | 532 | 58kB | 04-01-2005 10:27:22 | TVH9 |
| omschrijving: schema transformator |
|||||
|
voorbeeldvragen.gif | 296 | 6kB | 30-12-2004 15:36:28 | Aedolon |
| omschrijving: Voorbeeldvragen |
|||||
|
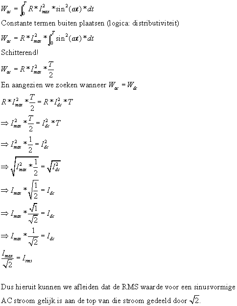
stroomrms3.gif | 1072 | 8kB | 29-12-2004 15:40:52 | Aedolon |
|
stroomrms2.gif | 1040 | 9kB | 29-12-2004 15:40:46 | Aedolon |
|
stroomrms1.gif | 1058 | 7kB | 29-12-2004 15:40:40 | Aedolon |
|
SMPS.JPG | 860 | 31kB | 22-12-2004 22:06:02 | loewietromp |
| omschrijving: SMPS supply |
|||||
|
flash.jpg | 372 | 190kB | 21-12-2004 12:39:38 | webmasterstinus |
| omschrijving: wat kan ik hier instellen om de bestandsgroote van mijn gifje te verkleinen? |
|||||
|
112
ms
v1.5.4
© MM 2002 - 2026
|
|

