Upload Archief |
| Hoofdpagina | Inloggen | Forum | Help |
| URL | |
| UBB | |
| HTML |
| overige afbeeldingen - bestand(en) | |||||
|---|---|---|---|---|---|
| bestand | dl's | grootte | datum | gebruiker | |
|
Complete eindtrap IIA.jpg | 433 | 271kB | 16-11-2005 15:14:27 | DJohnny |
|
Complete eindtrap IA.jpg | 465 | 299kB | 16-11-2005 15:14:04 | DJohnny |
|
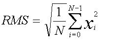
RMS_formule.JPG | 5201 | 4kB | 16-11-2005 09:25:30 | andreklompe |
| omschrijving: calculatie RMS waarde |
|||||
|
deelruimtebisbis.JPG | 269 | 9kB | 14-11-2005 19:10:16 | Bert F |
|
aanzichten lees-kop.zip | 103 | 435kB | 13-11-2005 17:40:21 | Barty |
| omschrijving: aanzichten cassette speler lees-kop |
|||||
|
benodigdheden proef 4.zip | 108 | 483kB | 13-11-2005 15:56:46 | Barty |
| omschrijving: leeskop cassette speler --> aanzichten |
|||||
|
wheatstone1.jpg | 539 | 15kB | 13-11-2005 14:44:58 | svekke108 |
| omschrijving: Oefwheatstone |
|||||
|
316930_2.jpg | 294 | 41kB | 12-11-2005 01:13:58 | suffeteun |
|
316930_1.jpg | 269 | 33kB | 12-11-2005 01:11:11 | suffeteun |
|
TMP.JPG | 311 | 19kB | 11-11-2005 14:14:57 | LaStei |
| omschrijving: LED sturing met 220V |
|||||
|
182
ms
v1.5.4
© MM 2002 - 2026
|
|

